The Official website of SUNDARI DEVI SARASWATI VIDYA MANDIR, BATAHA
Registration Form
Toggle navigation
Online Admission Form
Circular
Primary Section
Secondary Section
Senior Section
Alumni Registration
ERP Login
Admin
Download App
SUNDARI DEVI SARASWATI VIDYA MANDIR, BATAHA
Affiliated To CBSE Delhi & Approved by Sainik School Society, Affiliation No-330151 & School No - 65140, Pincode - 848210
Toggle navigation
Home
About Us
About Us
Chaiman Message
Principal Message
Vice Principal Message
Philosphy
Aim & Object
Our Faculty
Managing Commitee
Sainik School
Admission
Admission Procedure
Fees Structure
Becoming SDSVM
Caution Money Refund Policy
Transfer Certificate
Academic Plan
Aming To Achive Our Academy
Tests And Exams
Promotion Policy
Academic Policy
Assignment
Syllabus
Conduct And Discipline Policy
CBSE Topper 10 & 12
Infra & Facilities
Our Strength
Language Formula
Exchange Programme
Activity & Competitions
Educational Excursions
News & Events
School News
School Events
Gallery
Photo Gallery
Video Gallery
Contact
E-library
Mandatory Public Disclosure CBSE Corner
MANDATORY PUBLIC DISCLOSURE
Land Certificate
NOC
Recognition Certificate
Trust Certificate
Building Safety Certificate
Fire Safety Certificate
Three Year Results
DEO
Fee Structure
Parent Teacher Association
Safe Drinking Water Certificate
Self Certification
Annual Academic Calender
Extension of Affiliation
Management Commitiee(SMC)
NEWS DETAILS
Back
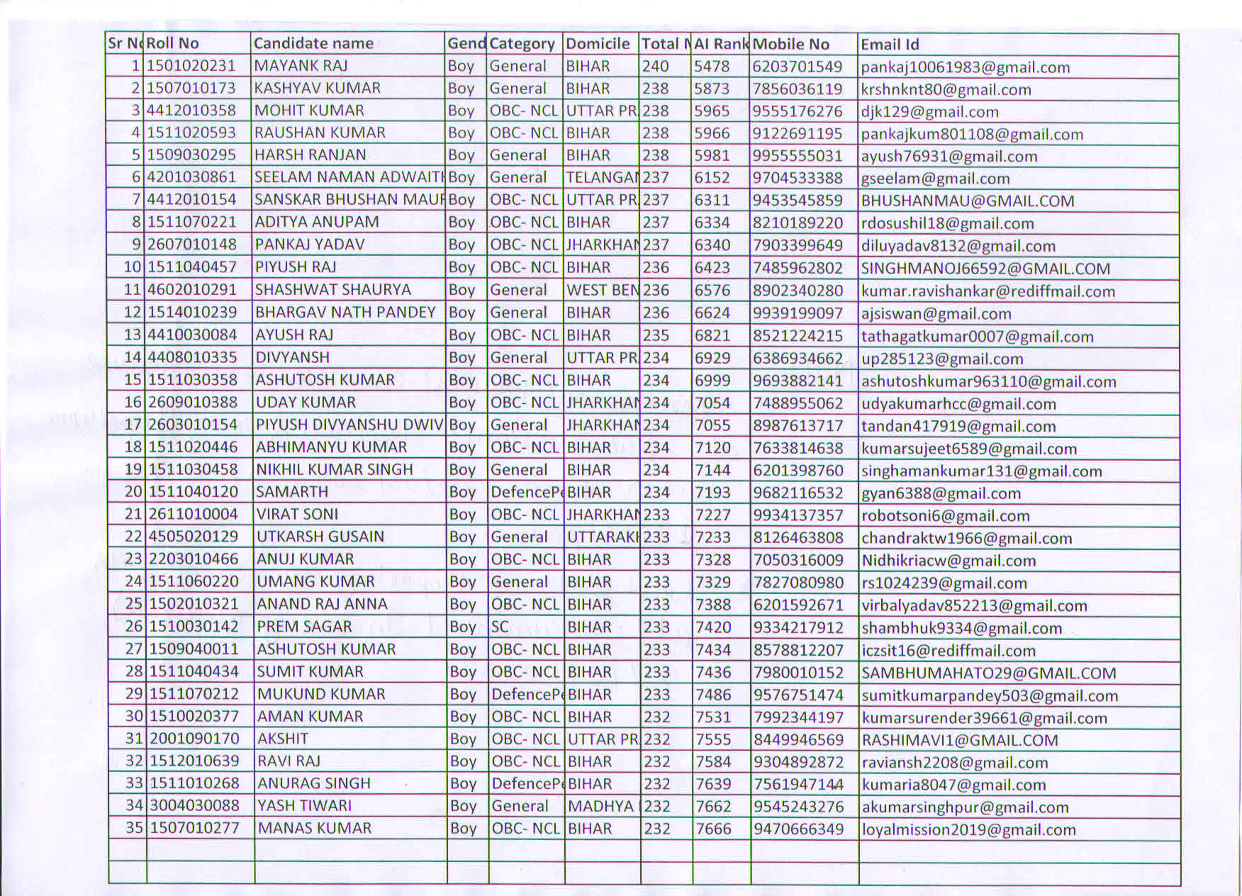
Waiting Merit List -2 page 1
20-Jun-2023
Waiting Merit List -2 page 1
Thought of
the day
" Success is not the key to happiness. Happiness is the key to success"
~ SDSVM
Select Class
×
Sub Heading
Description here :-